第四章 新技术、新产品、新应用
虹膜识别技术在公安智慧监管中的应用

/李胜广 王冠 公安部第一研究所

李攀 北京市公安局监所管理总队

  一、引言

  在当前社会和经济快速发展情况下,公安监管场所(看守所、拘留所、强制隔离戒毒所、强制医疗所和监管医院等)关押的被监管人员结构日趋复杂,职务犯罪、暴力犯罪、新型智能犯罪越来越多,被监管人员的行为和思想活动更具隐蔽性、随机性和对抗性,对抗监管方法手段呈现多样化。在监管场所超押严重、警押比不断下降的情况下,监管民警的工作强度和压力也越来越大。2020年新冠肺炎疫情肆虐全球,接触式指纹识别和口罩人脸识别出现了一些应用问题,虹膜识别技术迎难而上,凭借自身的多种优势应运爆发。虹膜识别技术已在公安领域多场景式应用,本文聚焦公安监管场所业务应用,提供虹膜识别的多种设备应用实例,为公安智慧监管虹膜识别应用模式提供一种参考。

  二、虹膜识别技术

  虹膜是位于人眼表面黑色瞳孔和白色巩膜之间的圆环状区域,具有丰富的纹理信息,如斑点、条纹、细丝、冠状、隐窝等细节特征。虹膜纹理的形成受遗传因素的影响较小,主要由胚胎期组织的营养状况及生物物理条件决定。

  目前,虹膜识别被公认为是识别精度最高的生物识别系统之一。人脸识别技术被广泛应用,但在准确率方面存在较大不确定性,动态条件下误识别率高;指纹识别技术是非侵害和价格便宜的生物识别技术解决方案,但存在容易被复制、需要人员配合并接触的不足;声纹识别是最自然的生物特征采集识别方式,但是存在准确率不高、受环境影响大、易伪造等弊端;DNA最大的特点是唯一性强,但采集识别的难度大,对环境条件要求严格等问题限制了其应用范围。


1 虹膜在人眼中的位置

  1.虹膜识别技术特点

  虹膜识别技术相比其他生物特征,具备以下显著优势:

  (1)唯一性:每个人都具有独一无二的虹膜纹理,即使是同一个人的左右眼或者是同卵双胞胎,其虹膜纹理也有显著差异,虹膜的唯一性为高精度的身份识别奠定了基础。

  (2)准确性:根据单个虹膜的特征信息,能够在大规模虹膜特征库中快速确定该虹膜的唯一所属人。准确性是生物特征识别技术的关键性能。英国剑桥大学John Daugman教授提出的虹膜相位特征证实了虹膜图像有244个独立的自由度,即平均每平方毫米的信息量是3.2 比特。

  (4)稳定性:虹膜从婴儿胚胎期的第3个月起开始发育,到第6个月虹膜的主要纹理结构已经成型。除非经历危及眼睛的外科手术,此后几乎终生不变。由于角膜的保护作用,发育完成的虹膜不易受到外界的伤害。

  (5)非接触性:虹膜是人体唯一外部可见的内部器官,不必接触采集就能获取合格的虹膜图像,相对于指纹、掌纹、静脉等需要接触感知的生物特征更加干净卫生,可避免交叉感染,尤其2019年底新冠肺炎疫情发生以来,非接触识别更成为身份识别的业务刚需。

  (6)安全性:获取清晰的虹膜纹理图像需要专用的虹膜图像采集装置和用户的配合,所以在一般情况下很难盗取他人的虹膜图像。

  (7)活体性:虹膜是活体生物特性,对不同光线有不同的反射特性,瞳孔会随着光线刺激而放大,这些可以作为检测活体的依据,无论采用录像、照片、假眼还是在隐形眼镜上打印的方式,都无法攻破虹膜识别算法。

  (8)易用性:虹膜识别不受遮挡面部信息的物件所影响,即使佩戴口罩、帽子、护目镜的情况下,都能正常确定人员身份。

  2.虹膜图像预处理

  虹膜识别技术的关键是采集到高质量的虹膜图像。借助光学设备采集虹膜图像,然后进行图像预处理。

  (1)虹膜图像预处理包括虹膜检测、分割和归一化等。

  (2)虹膜检测是指检测当前输入图像中是否含有虹膜。

  (3)虹膜图像分割是指准确定位虹膜的内外边界并检测可能的遮挡物(如上下眼皮的遮挡,睫毛、阴影、光斑的遮挡等)。

  虹膜图像归一化是指将不同的虹膜图像从直角坐标系映射到极坐标系下固定大小的矩形中。受采集距离、位置等影响,不同人眼的虹膜大小不一,同一人眼的瞳孔在不同的光照条件下也会发生形变。归一化的目的就是将虹膜的大小调整到固定的尺寸,消除虹膜大小和形变对识别性能的影响。

  虹膜特征抽取,是指从归一化后的虹膜图像中抽取鲁棒的个性化信息用于对当前虹膜进行表达和描述,并且用计算机能够存储和读取的格式进行编码。虹膜分类器则将抽取得到的特征码与存储在数据库中的虹膜特征码进行比对,确定用户身份。

  3.虹膜图像质量评估

  虹膜图像质量参考标准《安防虹膜识别应用 图像技术要求》(GA/T 1429—2017)中涉及到的图像质量因素,将标准中涉及到的图像质量因素分为基本信息、有效信息含量和清晰度三类分别评价,并且三类评价均合格时虹膜图像能够满足注册和识别要求。

  采集到的虹膜图像分别经过虹膜粗定位、基本信息评价、虹膜分割、有效信息评价、清晰度评价、计算图像质量分数等6个步骤,虹膜粗定位、基本信息评价、有效信息评价、清晰度评价4个步骤中任一步骤不通过均代表该帧图像不符合要求,需要重新采集。

  如图2所示,虹膜图像质量评价的各个步骤是根据图像处理的先后顺序和复杂程度进行排序的,可保证不合格的图像能够尽早在前面的步骤检出,提高图像评价的效率。

虹膜图像质量评估算法流程

  标准《安防虹膜识别应用 图像技术要求》(GA/T 1429—2017)中规定了虹膜图像的灰度等级和灰度等级利用率两个技术指标。

  其中,灰度等级要求规定“虹膜图像应为灰度图像,0表示纯黑。每个像素点位深度应不小于8位,即图像中每个像素点灰度量化级应不小于256级”,灰度等级利用率要求规定“使用图像灰度直方图的信息熵来衡量灰度等级利用率,单位为比特。虹膜图像的灰度等级利用率应不小于6比特”。

  (1)灰度等级利用率的计算方法如下:

  ①根据虹膜粗定位的信息,参考GA/T 1429—2017标准中4.12对边界裕量的要求进行虹膜图像切割。图像切割过程中虹膜外边界的拟合圆到图像的上边界、下边界、左边界和右边界的距离分别设定为0.3r、0.3r、0.7r和0.7r(其中r为虹膜外边界的拟合圆半径)。

  ②统计切割后的虹膜图像的灰度直方图,并根据下述公式计算灰度等级利用率。

  其中pi为分割后虹膜图像的灰度直方图信息,gu为灰度等级利用率。

  ③若灰度等级利用率不小于6比特,则该项检测通过,否则不通过检测,继续采集图像。

  标准《安防虹膜识别应用 图像技术要求》(GA/T 1429—2017)中,涉及到的虹膜图像所含信息相关的质量因素有三个,分别是虹膜半径、瞳孔伸缩率、虹膜有效区域占比。虹膜半径是指虹膜外边界拟合圆的半径,标准要求不低于80个像素。虹膜半径越大说明虹膜图像有效的分辨率越高,包含的细节信息越多。瞳孔伸缩率是指瞳孔边界拟合圆半径和虹膜外边界拟合圆半径的比率,标准要求应介于20%与70%之间。虹膜有效区域占比是指虹膜环形区域内,未被眼皮、睫毛、光斑等遮盖的区域所占的比例,该值越大说明虹膜图像中有效信息越多。标准要求虹膜有效区域占比不低于50%。

  (2)虹膜半径、瞳孔伸缩率、虹膜有效区域占比三个质量因素的计算方法如下:

  ①利用基于模型搜索的方法和基于像素点分类的方法对分割后的图像进行精确定位和虹膜区域分割;

  ②根据虹膜精确定位信息,拟合瞳孔边界和虹膜外边界。获取虹膜外边界拟合圆半径,记为ri;获取瞳孔边界拟合圆半径,记为rp;

  ③计算瞳孔伸缩率Rpi,如式(2)所示;

  ④在分割后的虹膜图像中计算虹膜有效区域占比Au,如式(3)所示,其中Nv指虹膜环状区域中未被遮挡的虹膜像素的数量,Ni是指虹膜环状区域总像素数;

  当计算到的虹膜半径、瞳孔伸缩率、虹膜有效区域占比满足式(4)时,认为虹膜图像通过有效信息含量评价。


  标准《安防虹膜识别应用 图像技术要求》(GA/T 1429—2017)中,涉及到的虹膜图像清晰度相关的质量因素有两个,分别是虹膜与巩膜对比度、虹膜与瞳孔对比度。

  虹膜与巩膜对比度衡量虹膜区域与巩膜之间边界的图像特征,标准中规定该值不低于5。

  (3)虹膜与巩膜对比度计算步骤如下:

  假定虹膜—巩膜边界为圆形建立模型;

  ①将虹膜—巩膜边界归一化到半径为1,0;

  ②选择未被眼皮、睫毛、镜面反射、镜框边缘等遮挡的以虹膜圆心为中心内圆半径等于虹膜半径和瞳孔半径平均值、外圆半径等于0.9倍虹膜半径的环状区域中的所有像素定义为虹膜像素;

  ③令iris_value为虹膜像素的中值;

  ④选择未被眼皮、睫毛和光斑遮挡的以虹膜中心为圆心、内圆半径等于1.1倍虹膜半径、外圆半径等于1.2倍虹膜半径的环状区域中的所有像素为巩膜像素;

  ⑤令 为巩膜像素的中值;

  虹膜与瞳孔对比度体现了虹膜区域与瞳孔之间边缘的特征。在很多虹膜分割算法中需要有充足的虹膜与瞳孔对比度以提高虹膜分割准确度。低的对比度可能会导致虹膜图像的特征提取失败。

  (4)虹膜与瞳孔对比度计算的步骤如下:

  ①以瞳孔中心为圆心,假定虹膜—瞳孔边界为圆形建立模型。

  ②将虹膜—瞳孔边界归一化到半径为1,0;

  ③选择未被眼皮、睫毛和光斑等遮挡的以瞳孔中心为圆心、半径等于0.8倍瞳孔半径的圆形区域中的所有像素定义为瞳孔像素;

  ④令sclera_value为瞳孔像素的中值;

  ⑤选择未被眼皮、睫毛和光斑等遮挡的环形区域(内圆半径为1.1倍的瞳孔半径,外圆半径为内圆半径扩展到虹膜—瞳孔边界与虹膜—巩膜边界之间的中点)的所有像素;

  ⑥令 为虹膜像素的中值;

  ⑦计算

  

  虹膜—瞳孔对比度是无量纲的,一般当 时认为虹膜质量较好。

  虹膜图像质量评价经过基本信息评价、有效信息含量评价和清晰度评价后,将三个阶段的评价结果相融合,计算最终的虹膜图像质量分数。

  基本信息评价、有效信息含量评价、清晰度评价是虹膜图像质量评价的3个串联步骤,任意步骤评价未通过,都将不建议应用该图像进行后续的特征提取和识别。

  基本信息评价为虹膜图像质量的门槛,通过该项评测后,相应的评价指标不再参与最终的图像质量分数计算。虹膜图像清晰度满足标准要求后,相应指标也不再参与最终的图像质量分数计算。

  有效信息含量评价中,瞳孔伸缩率指标用于衡量瞳孔是否处于正常状态,当满足标准中要求的范围时可以认为虹膜图像中瞳孔处于正常伸缩状态,该值不再参与最终的图像质量分数计算。

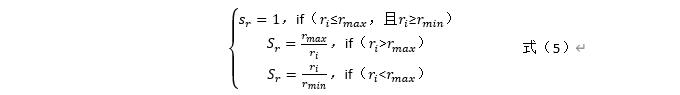
  虹膜半径的大小反应了虹膜小目标在采集设备中成像情况,与虹膜采集摄像头的分辨率、镜头和虹膜与采集设备之间的距离有关。一般情况下,虹膜采集设备采用了定焦的摄像头,虹膜最佳成像时人眼与采集设备的距离相对固定,从而成像效果较好的虹膜图像,虹膜半径先对一致,可作为先验条件衡量图像质量。

  假设虹膜先验最低半径为rmin,最大半径为rmax,虹膜半径指标的质量分数Sr计算如式(5)所示:

  虹膜有效区域占比指标的质量分数SA计算方法如式(6)所示:

  有效信息评价阶段将虹膜半径分数和虹膜有效区域占比分数综合计算,得出最终质量分数,定义为SI,计算方法如式(7)所示:                 

  三、公安智慧监管中的应用

  在大量的监管场所中,通常采用指纹识别技术来确认被监管人员身份。指纹对于环境要求较高,对手指的湿度和清洁度都有要求,指纹磨损也会造成不能识别的后果。有些犯罪嫌疑人为了躲避追查,会故意磨损指纹。某些人可能天生没有指纹,或者指纹特征少,无法成像。另外指纹痕迹容易留存,被监管人员可轻松获取到其他人员指纹信息。因此监管场所采用指纹的身份识别存在安全性问题。

  在今年的新冠疫情防疫防护期间,民警佩戴口罩和护目镜,防控人员穿着全身防护服等情况下,使得个人身份核验难度陡然增加。指纹识别、人脸识别、声纹识别、DNA检测等生物特征识别技术虽然在各自适合的领域发挥着重大作用,但都无法在此类情况下同时达到无接触、快速、精准识别人员身份。虹膜识别技术是当前唯一不受面部大面积遮挡、最快速、最精准的生物特征识别技术。

  结合实际落地的应用项目,本文提出了一整套公安智慧监管业务中的虹膜识别应用解决方案,包括虹膜采集核验设备、虹膜识别引擎、虹膜特征信息库等组成部分。解决方案整体架构图如图3所示,主要功能包括:

  (1)被监管人员生物特征采集和识别功能:该功能模块用于监所收押环节采集被监管人员的生物特征信息。可通过监室智能交互终端、防误放设备等生物特征采集和识别终端,并结合生物特征识别引擎,识别被监管人员的身份。

  (2)民警生物特征信息采集与识别功能:该功能模块用于监所人事管理环节采集民警及其他工作人员的生物特征信息,并与监管综合业务平台结合应用,构建警员和工作人员的生物特征信息库。可通过PC终端部署的便携式生物特征采集设备和生物特征识别引擎识别民警及工作人员的身份信息。

  (3)生物特征识别引擎功能:具备虹膜、人脸和指纹三种生物特征的一对一验证和一对多识别功能接口,并可通过公安信息网为其他系统提供生物特征识别服务。

3 虹膜采集与应用系统整体架构图

  四、结束语

  各地监所按照公安部统一要求,目前已经把虹膜纳入人脸、指纹、声纹、DNA等生物特征一体化采集工作中,积极开展被监管人员虹膜信息采集工作,确保违法犯罪人员虹膜信息应采尽采。通过虹膜识别技术,及时识别嫌疑人化妆、整容、漂白身份等手段,实现在无身份证情况下快速、精准确定嫌疑人真实身份,并主动对接刑侦、治安、网安等部门,形成多警种、规模化、全共享的公安虹膜应用新模式。


上一篇:探析AR技术在安防行业的融合发展    下一篇:多模态3D视觉身份识别技术简析